VideoClass.com logo
  • Login
    Don't have a VideoClass account yet? Sign up.
    Forgot password?
    or log in with
    Facebook Google
  • Sign up
  • School
    • Biology
    • Chemistry
    • English
    • History
    • Literature
    • Mathematics
    • Physics
    • Technology
    • SAT
  • University
    • Social Sciences
    • Humanities
    • Natural Sciences
    • Formal Sciences
    • Medicine
    • Professions and Applied Sciences
school

Mathematics

FOIL

FOIL

Solving Fractional Equations
This is one example of solving a fractional equation involving factoring, foiling and distribution at different stages of the process
By Nicole Hamilton
Solving Fractional Equations
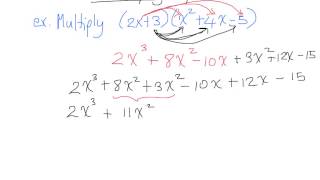
Multiplying Polynomials
Using the distributive property and FOIL to multiply polynomials
By Nicole Hamilton
Multiplying Polynomials

FOIL

Estimation7 Triangles90 Coordinate25 Statistics4

Teachers

Nicole Hamilton
Member
© 2015 VideoClass
  • Report a Problem
  • Contact
  • F.A.Q.
  • Privacy Policy
  • Terms of Service
  • Copyrights
  • About
Español